根据长江大学关于成考相关通知公告获悉,2022年春季湖北科技学院关于成人高考毕业办证即将开始,具体工作通知如下:
如有异议,可通过电话或电子邮件等方式,向长江大学继续教育学院反映。
电话:0716-8067285,0716-8067312
邮箱:287417263 qq.com
长江大学继续教育学院
2022年3月22日
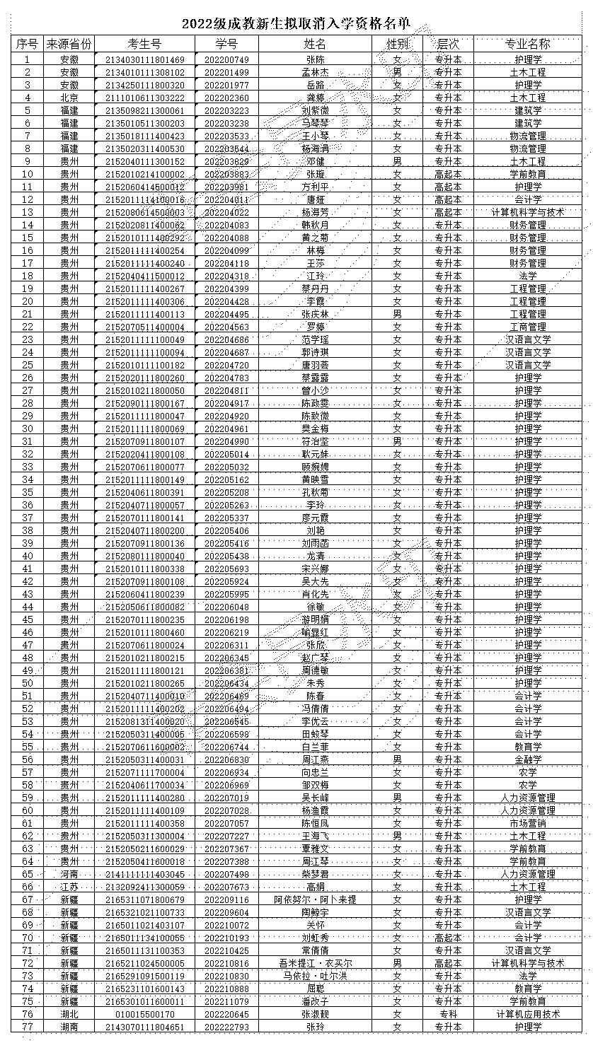
以上就是 2022级长江大学成教新生入学资格复查不合格拟取消入学资格名单公示的全部内容,有需要的考生可以进行参考阅读!
免费获取【求学问校网】为您定制的学历提升方案







